


29
Premium Content
Fazoviy jismlarning muvozanati
3,400so'm
Betlar soni
4 taFayl hajmi
197.52 KBFayl turi
.docxMahsulot tavsifi
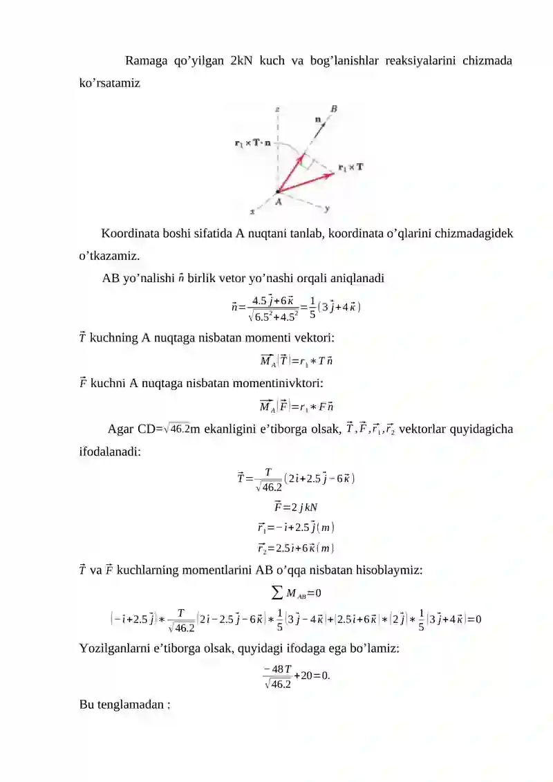
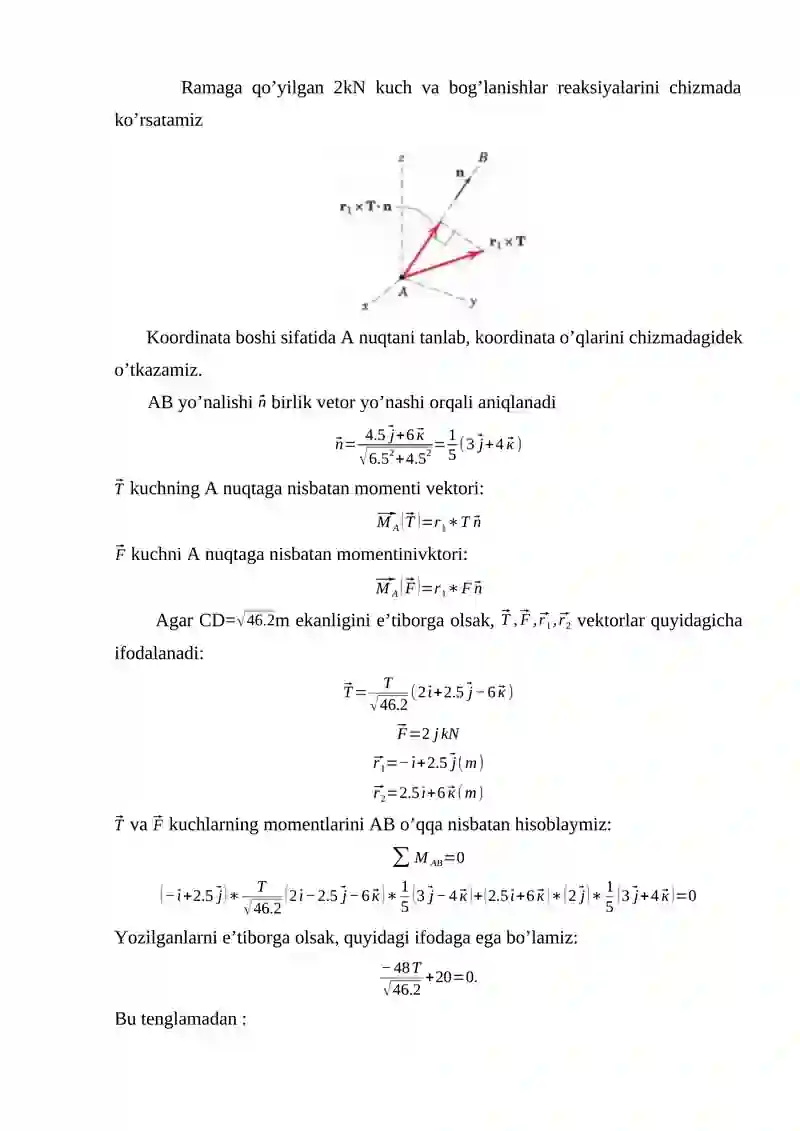
Trubadan payvandlash yo’li bilan yasalgan rama A nuqtada sferik sharnirga tayangan. CD arqon bu harakatni yuzaga keltirishga imkon bermaydi va rama muvozanat holatida bo’ladi.
Teglar
#reaksiyalar#momentlar#fazoviy jismlar
Premium Content
Fazoviy jismlarning muvozanati
3,400so'm
Betlar soni
4 taFayl hajmi
197.52 KBFayl turi
.docx
✓
Muallif
Alpha 🔰
Tasdiqlangan sotuvchi
Jami mahsulotlar7921 ta
Sotilgan4081 ta